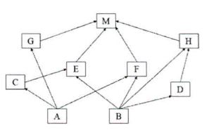
Một lưới thức ăn gồm các loài sinh vật được mô tả ở hình bên. Cho biết loài A và loài B
Một lưới thức ăn gồm các loài sinh vật được mô tả ở hình bên. Cho biết loài A và loài B là sinh vật sản xuất, các loài còn lại là sinh vật tiêu thụ. Theo lí thuyết, có bao nhiêu phát biểu sau đây đúng về lưới thức ăn này?

I. Các loài C, G, F, D thuộc cùng một bậc dinh dưỡng.
II. Nếu loài E bị loại bỏ hoàn toàn khỏi quần xã thì số lượng cá thể của loài F chắc chắn tăng lên.
III. Lưới thức ăn này có 7 chuỗi thức ăn.
IV. Số chuỗi thức ăn mà loài M tham gia bằng số chuỗi thức ăn mà loài B tham gia.
Đáp án đúng là: A
Quảng cáo
Đáp án cần chọn là: A
>> 2K9 Chú ý! Lộ Trình Sun 2027 - 1 lộ trình ôn đa kỳ thi (TN THPT, ĐGNL (Hà Nội/ Hồ Chí Minh), ĐGNL Sư Phạm, ĐGTD, ĐGNL Bộ Công an, ĐGNL Bộ Quốc phòngTD - Click xem ngay) tại Tuyensinh247.com. Cập nhật bám sát bộ SGK mới, Thầy Cô giáo giỏi, 3 bước chi tiết: Nền tảng lớp 12; Luyện thi chuyên sâu; Luyện đề đủ dạng đáp ứng mọi kì thi.
![]() |
![]() |
![]() |
![]() |
![]() |
![]() |
![]() |
![]() |
Hỗ trợ - Hướng dẫn
-
024.7300.7989
-
1800.6947
(Thời gian hỗ trợ từ 7h đến 22h)
Email: lienhe@tuyensinh247.com












