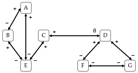
Sơ đồ dưới đây thể hiện mô hình tương tác giữa các quần thể của một hệ sinh thái. Các
Sơ đồ dưới đây thể hiện mô hình tương tác giữa các quần thể của một hệ sinh thái. Các chữ in hoa kí hiệu cho các quần thể. Mũi tên hai đầu (↔) cho biết có sự tương tác trực tiếp giữa hai quần thể. Các tương tác có thể có lợi (+), có hại (–) hoặc không lợi, không hại (0) đối với mỗi quần thể, được chỉ ra ở cuối các mũi tên. Có bao nhiêu nhận xét sau đây đúng?

I. Khi quần thể A giảm kích thước thì kích thước quần thể B tăng, không dự đoán được sự thay đổi kích thước của quần thể E.
II. Khi quần thể D tăng kích thước thì chắc chắn kích thước quần thể G tăng và kích thước quần thể A giảm.
III. Khi quần thể D tăng kích thước thì kích thước quần thể G và F đều có thể giảm.
IV. Có thể có 3 kiểu quan hệ đối kháng và 1 kiểu quan hệ hỗ trợ giữa các quần thể.
Đáp án đúng là: C
Quảng cáo
Xét từng phát biểu, tìm mối quan hệ có thể có của 2 loài đang xét.
Đáp án cần chọn là: C
>> 2K9 Chú ý! Lộ Trình Sun 2027 - 1 lộ trình ôn đa kỳ thi (TN THPT, ĐGNL (Hà Nội/ Hồ Chí Minh), ĐGNL Sư Phạm, ĐGTD, ĐGNL Bộ Công an, ĐGNL Bộ Quốc phòngTD - Click xem ngay) tại Tuyensinh247.com. Cập nhật bám sát bộ SGK mới, Thầy Cô giáo giỏi, 3 bước chi tiết: Nền tảng lớp 12; Luyện thi chuyên sâu; Luyện đề đủ dạng đáp ứng mọi kì thi.
![]() |
![]() |
![]() |
![]() |
![]() |
![]() |
![]() |
![]() |
Hỗ trợ - Hướng dẫn
-
024.7300.7989
-
1800.6947
(Thời gian hỗ trợ từ 7h đến 22h)
Email: lienhe@tuyensinh247.com












