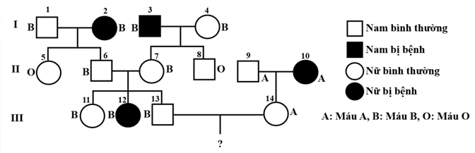
Cho hồ sơ phả hệ mô tả sự di truyền nhóm máu hệ ABO và một bệnh M ở người do 2 locut
Cho hồ sơ phả hệ mô tả sự di truyền nhóm máu hệ ABO và một bệnh M ở người do 2 locut thuộc 2 cặp NST khác nhau quy định.

Biết rằng, bệnh M trong phả hệ là do một trong 2 alen có quan hệ trội lặn hoàn toàn của một gen quy định; gen quy định nhóm máu có 3 alen IA, IB, IO; trong đó alen IA quy định nhóm máu A, alen IB quy định nhóm máu B đều trội hoàn toàn so với alen IO quy định nhóm máu O và quần thể này đang ở trạng thái cân bằng di truyền về tính trạng nhóm máu với 4% số người có nhóm máu O và 21% số người có nhóm máu B: Có bao nhiêu phát biểu sau đây đúng?
I. Có 5 người chưa xác định được kiểu gen bệnh M.
II. Có tối đa 10 người mang kiểu gen đồng hợp về nhóm máu.
III. Xác suất để người III14 mang kiểu gen dị hợp về nhóm máu là 63,64%.
IV. Khả năng cặp vợ chồng III13 và III14 sinh một đứa con mang kiểu gen dị hợp về cả hai tính trạng là 47,73%.
Đáp án đúng là: A
Quảng cáo
Đáp án cần chọn là: A
>> 2K9 Chú ý! Lộ Trình Sun 2027 - 1 lộ trình ôn đa kỳ thi (TN THPT, ĐGNL (Hà Nội/ Hồ Chí Minh), ĐGNL Sư Phạm, ĐGTD, ĐGNL Bộ Công an, ĐGNL Bộ Quốc phòngTD - Click xem ngay) tại Tuyensinh247.com. Cập nhật bám sát bộ SGK mới, Thầy Cô giáo giỏi, 3 bước chi tiết: Nền tảng lớp 12; Luyện thi chuyên sâu; Luyện đề đủ dạng đáp ứng mọi kì thi.
![]() |
![]() |
![]() |
![]() |
![]() |
![]() |
![]() |
![]() |
Hỗ trợ - Hướng dẫn
-
024.7300.7989
-
1800.6947
(Thời gian hỗ trợ từ 7h đến 22h)
Email: lienhe@tuyensinh247.com













