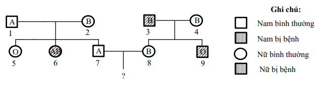
Sự di truyền bệnh P ở người do 1 trong 2 alen quy định và được thể hiện qua sơ đồ phả hệ
Sự di truyền bệnh P ở người do 1 trong 2 alen quy định và được thể hiện qua sơ đồ phả hệ dưới đây. Các chữ cái cho biết các nhóm máu tương ứng của mỗi người. Biết rằng bệnh P di truyền độc lập với tính trạng nhóm máu và không xảy ra đột biến.

Theo lí thuyết, có bao nhiêu phát biểu sau đây đúng?
I. Xác định được chính xác kiểu gen của 7 người.
II. Có tối đa 3 người mang kiểu gen đồng hợp về nhóm máu.
III.Xác suất sinh 2 con đều có máu O và bị bệnh P của cặp 7-8 là 1/576.
IV. Xác suất sinh con trai có máu A và không bị bệnh P của cặp 7-8 là 5/72.
Đáp án đúng là: A
Quảng cáo
Đáp án cần chọn là: A
>> 2K9 Chú ý! Lộ Trình Sun 2027 - 1 lộ trình ôn đa kỳ thi (TN THPT, ĐGNL (Hà Nội/ Hồ Chí Minh), ĐGNL Sư Phạm, ĐGTD, ĐGNL Bộ Công an, ĐGNL Bộ Quốc phòngTD - Click xem ngay) tại Tuyensinh247.com. Cập nhật bám sát bộ SGK mới, Thầy Cô giáo giỏi, 3 bước chi tiết: Nền tảng lớp 12; Luyện thi chuyên sâu; Luyện đề đủ dạng đáp ứng mọi kì thi.
![]() |
![]() |
![]() |
![]() |
![]() |
![]() |
![]() |
![]() |
Hỗ trợ - Hướng dẫn
-
024.7300.7989
-
1800.6947
(Thời gian hỗ trợ từ 7h đến 22h)
Email: lienhe@tuyensinh247.com













