Một quần thể người đang ở trạng thái cân bằng di truyền, tần số người bị mắc một
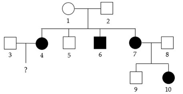
Một quần thể người đang ở trạng thái cân bằng di truyền, tần số người bị mắc một bệnh di truyền do 1 gen quy định là 9%. Phả hệ dưới đây cho thấy một số thành viên (kí hiệu tô màu đen trên phả hệ) bị mắc bệnh này. Kiểu hình của người có đánh dấu (?) là chưa biết.

Có 4 kết luận rút ra từ sơ đồ phả hệ trên:
(1). Cá thể III-9 mang alen gây bệnh.
(2). Cá thể II-5 có xác suất mang gen gây bệnh là 1/3.
(3). Xác suất để có thể II-3 có kiểu gen dị hợp tử là 4/9.
(4). Xác suất cá thể con III-(?) bị bệnh là 23%.
Những kết luận đúng là:
Đáp án đúng là: B
Quảng cáo
Đáp án cần chọn là: B
>> 2K8 Chú ý! Lộ Trình Sun 2026 - 3IN1 - 1 lộ trình ôn 3 kì thi (Luyện thi 26+ TN THPT, 90+ ĐGNL HN, 900+ ĐGNL HCM, 70+ ĐGTD - Click xem ngay) tại Tuyensinh247.com.Đầy đủ theo 3 đầu sách, Thầy Cô giáo giỏi, luyện thi theo 3 giai đoạn: Nền tảng lớp 12, Luyện thi chuyên sâu, Luyện đề đủ dạng đáp ứng mọi kì thi.
![]() |
![]() |
![]() |
![]() |
![]() |
![]() |
![]() |
![]() |
Hỗ trợ - Hướng dẫn
-
024.7300.7989
-
1800.6947
(Thời gian hỗ trợ từ 7h đến 22h)
Email: lienhe@tuyensinh247.com












