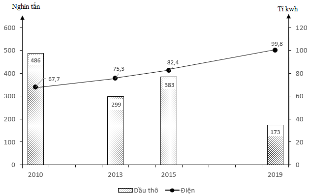
Cho biểu đồ:SẢN LƯỢNG DẦU THÔ VÀ ĐIỆN CỦA PHI-LIP-PIN, GIAI ĐOẠN 2010 - 2019(Số liệu theo
Cho biểu đồ:

SẢN LƯỢNG DẦU THÔ VÀ ĐIỆN CỦA PHI-LIP-PIN, GIAI ĐOẠN 2010 - 2019
(Số liệu theo Niên giám thống kê Việt Nam 2019, NXB Thống kê, 2020)
Theo biểu đồ, nhận xét nào sau đây đúng về sản lượng dầu thô và điện của Phi-lip-pin, năm 2019 so với năm 2010?
Đáp án đúng là: B
Quảng cáo
Đáp án cần chọn là: B
>> 2K9 Chú ý! Lộ Trình Sun 2027 - 1 lộ trình ôn đa kỳ thi (TN THPT, ĐGNL (Hà Nội/ Hồ Chí Minh), ĐGNL Sư Phạm, ĐGTD, ĐGNL Bộ Công an, ĐGNL Bộ Quốc phòngTD - Click xem ngay) tại Tuyensinh247.com. Cập nhật bám sát bộ SGK mới, Thầy Cô giáo giỏi, 3 bước chi tiết: Nền tảng lớp 12; Luyện thi chuyên sâu; Luyện đề đủ dạng đáp ứng mọi kì thi.
![]() |
![]() |
![]() |
![]() |
![]() |
![]() |
![]() |
![]() |
Hỗ trợ - Hướng dẫn
-
024.7300.7989
-
1800.6947
(Thời gian hỗ trợ từ 7h đến 22h)
Email: lienhe@tuyensinh247.com












