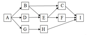
Giả sử một lưới thức ăn trong hệ sinh thái gồm các loài sinh vật A, B, C, D, E, F, G, H, I
Giả sử một lưới thức ăn trong hệ sinh thái gồm các loài sinh vật A, B, C, D, E, F, G, H, I được mô tả qua sơ đồ ở hình bên. Cho biết loài A là sinh vật sản xuất và các loài còn lại đều là sinh vật tiêu thụ. Phân tích lưới thức ăn này, có bao nhiêu phát biểu sau đây đúng?

(1). Loài E tham gia vào nhiều chuỗi thức ăn nhất.
(2). Loài B là sinh vật tiêu thụ bậc 2.
(3). Lưới thức ăn này có 7 chuỗi thức ăn.
(4). Loài C có thể là sinh vật tiêu thụ bậc 2 hoặc bậc 3
Đáp án đúng là: B
Quảng cáo
Đáp án cần chọn là: B
>> 2K8 Chú ý! Lộ Trình Sun 2026 - 3IN1 - 1 lộ trình ôn 3 kì thi (Luyện thi 26+ TN THPT, 90+ ĐGNL HN, 900+ ĐGNL HCM, 70+ ĐGTD - Click xem ngay) tại Tuyensinh247.com.Đầy đủ theo 3 đầu sách, Thầy Cô giáo giỏi, luyện thi theo 3 giai đoạn: Nền tảng lớp 12, Luyện thi chuyên sâu, Luyện đề đủ dạng đáp ứng mọi kì thi.
![]() |
![]() |
![]() |
![]() |
![]() |
![]() |
![]() |
![]() |
Hỗ trợ - Hướng dẫn
-
024.7300.7989
-
1800.6947
(Thời gian hỗ trợ từ 7h đến 22h)
Email: lienhe@tuyensinh247.com












