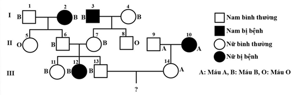
Cho hồ sơ phả hệ mô tả sự di truyền nhóm máu hệ ABO và một bệnh M ở người do 2 locut
Cho hồ sơ phả hệ mô tả sự di truyền nhóm máu hệ ABO và một bệnh M ở người do 2 locut thuộc 2 cặp NST khác nhau quy định. Biết rằng, bệnh M trong phả hệ là do một trong 2 alen có quan hệ trội lặn hoàn toàn của một gen quy định; gen quy định nhóm máu 3 alen IA, IB, IO; trong đó alen IA quy định nhóm máu A, alen IB quy định nhóm máu B đều trội hoàn toàn so với alen IO quy định nhóm máu O và quần thể này đang ở trạng thái cân bằng di truyền về tính trạng nhóm máu với 4% số người có nhóm máu O và 21% số người có nhóm máu B.

Có bao nhiêu phát biểu sau đây là đúng?
(1). Có 5 người chưa xác định được kiểu gen bệnh M.
(2). Có tối đa 10 người mang kiểu gen đồng hợp về nhóm máu.
(3). Xác suất để người III-14 mang kiểu gen dị hợp về nhóm máu là 63,64%.
(4). Khả năng cặp vợ chồng III-13 và III-14 sinh một đứa con mang kiểu gen dị hợp về cả hai tính trạng là 47,73%.
Đáp án đúng là: D
Quảng cáo
Đáp án cần chọn là: D
>> 2K8 Chú ý! Lộ Trình Sun 2026 - 3IN1 - 1 lộ trình ôn 3 kì thi (Luyện thi 26+ TN THPT, 90+ ĐGNL HN, 900+ ĐGNL HCM, 70+ ĐGTD - Click xem ngay) tại Tuyensinh247.com.Đầy đủ theo 3 đầu sách, Thầy Cô giáo giỏi, luyện thi theo 3 giai đoạn: Nền tảng lớp 12, Luyện thi chuyên sâu, Luyện đề đủ dạng đáp ứng mọi kì thi.
![]() |
![]() |
![]() |
![]() |
![]() |
![]() |
![]() |
![]() |
Hỗ trợ - Hướng dẫn
-
024.7300.7989
-
1800.6947
(Thời gian hỗ trợ từ 7h đến 22h)
Email: lienhe@tuyensinh247.com













