Cho chất hữu cơ X có công thức C13H10O2 và thực hiện các sơ đồ phản ứng sau: (1) X + NaOH → X1
Cho chất hữu cơ X có công thức C13H10O2 và thực hiện các sơ đồ phản ứng sau:
(1) X + NaOH → X1 + X2 + H2O;
(2) X1 + HCl → X3 (chứa nhân benzen) + NaCl;
(3) X2 + HCl → X4 + NaCl;
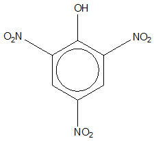
(4) X4 + HNO3 (đặc)/H2SO4 (đặc) → Axit picric + H2O.
Phát biểu nào sau đây đúng?
Đáp án đúng là: C
Quảng cáo
Đáp án cần chọn là: C
>> 2K9 Chú ý! Lộ Trình Sun 2027 - 1 lộ trình ôn đa kỳ thi (TN THPT, ĐGNL (Hà Nội/ Hồ Chí Minh), ĐGNL Sư Phạm, ĐGTD, ĐGNL Bộ Công an, ĐGNL Bộ Quốc phòngTD - Click xem ngay) tại Tuyensinh247.com. Cập nhật bám sát bộ SGK mới, Thầy Cô giáo giỏi, 3 bước chi tiết: Nền tảng lớp 12; Luyện thi chuyên sâu; Luyện đề đủ dạng đáp ứng mọi kì thi.
![]() |
![]() |
![]() |
![]() |
![]() |
![]() |
![]() |
![]() |
Hỗ trợ - Hướng dẫn
-
024.7300.7989
-
1800.6947
(Thời gian hỗ trợ từ 7h đến 22h)
Email: lienhe@tuyensinh247.com













