Ở người, gen quy định nhóm máu có 3 alen nằm trên nhiễm sắc thể thường, trong đó kiểu gen
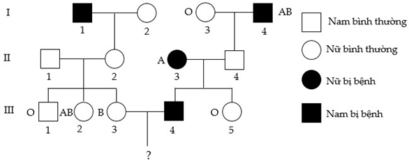
Ở người, gen quy định nhóm máu có 3 alen nằm trên nhiễm sắc thể thường, trong đó kiểu gen IAIA và IAIO đều quy định nhóm máu A; kiểu gen IBIB và IBIO đều quy định nhóm máu B; kiểu gen IAIB quy định, nhóm máu AB; kiểu gen IOIO quy định nhóm máu O. Bệnh mù màu do một gen có 2 alen quy định, trội hoàn toàn và nằm trên vùng không tương đồng của nhiễm sắc thể X. Cho sơ đồ phả hệ

Biết rằng không phát sinh đột biến mới ở tất cả mọi người trong phả hệ. Theo lí thuyết, có bao nhiêu phát biểu sau đây đúng?
(1). Có thể xác định được tối đa kiểu gen của 4 người trong phả hệ.
(2). I-3 và III-5 có kiểu gen giống nhau.
(3). Nếu III-5 lấy chồng có nhóm máu AB và không bị bệnh thì xác suất họ sinh con gái có nhóm máu A và không bị bệnh là 1/8.
(4). Nếu II-4 có nhóm máu B thì xác suất cặp vợ chồng III-3 – III-4 sinh con nhóm máu O và không bị bệnh mù màu là 3/64.
Đáp án đúng là: A
Quảng cáo
Đáp án cần chọn là: A
>> 2K8 Chú ý! Lộ Trình Sun 2026 - 3IN1 - 1 lộ trình ôn 3 kì thi (Luyện thi 26+ TN THPT, 90+ ĐGNL HN, 900+ ĐGNL HCM, 70+ ĐGTD - Click xem ngay) tại Tuyensinh247.com.Đầy đủ theo 3 đầu sách, Thầy Cô giáo giỏi, luyện thi theo 3 giai đoạn: Nền tảng lớp 12, Luyện thi chuyên sâu, Luyện đề đủ dạng đáp ứng mọi kì thi.
![]() |
![]() |
![]() |
![]() |
![]() |
![]() |
![]() |
![]() |
Hỗ trợ - Hướng dẫn
-
024.7300.7989
-
1800.6947
(Thời gian hỗ trợ từ 7h đến 22h)
Email: lienhe@tuyensinh247.com












