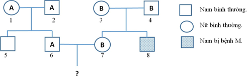
Cho sơ đồ phả hệ mô tả sự di truyền nhóm máu ABO và một bệnh ở người. Biết rằng gen quy
Cho sơ đồ phả hệ mô tả sự di truyền nhóm máu ABO và một bệnh ở người. Biết rằng gen quy định nhóm máu có 3 alen IA, IB, IO ; trong đó alen IA quy định nhóm máu A, alen IB quy định nhóm máu B đều trội hoàn toàn so với alen IO quy định nhóm máu O. Quần thể người cân bằng di truyền về nhóm máu có 36% số người có nhóm máu O và 45% số người có máu A. Bệnh M trong phả hệ là do một trong 2 alen của một gen quy định, trong đó alen trội là trội hoàn toàn. Biết rằng người số 4 không mang alen bệnh M và không phát sinh đột biến mới. Có bao nhiêu nhận định sau đây đúng?

I. Có thể xác định chính xác kiểu gen của 3 người trong phả hệ.
II. Xác suất người số 5 mang máu A là 84%.
III. Xác suất người số 8 mang máu O là 36/169.
IV. Cặp vợ chồng 6 – 7 mong muốn sinh được 1 đứa con trai máu O và không mắc bệnh M. Xác suất thành công là 9/266.
Đáp án đúng là: B
Quảng cáo
Quần thể cân bằng về hệ nhóm máu ABO có cấu trúc:
(IA +IB +IO)2= IAIA +IOIO+IBIB +2IAIO+ 2IAIB +2IBIO = 1
Nhóm máu A + nhóm máu O =(IA + IO)2 tương tự với nhóm máu B
Bước 1: Xác định tần số alen
Bước 2: Xác định tỉ lệ kiểu gen nhóm máu A, tỉ lệ nhóm máu B.
Xác suất kiểu gen của các cá thể.
Bước 3: Xét các phát biểu
Đáp án cần chọn là: B
>> 2K9 Chú ý! Lộ Trình Sun 2027 - 1 lộ trình ôn đa kỳ thi (TN THPT, ĐGNL (Hà Nội/ Hồ Chí Minh), ĐGNL Sư Phạm, ĐGTD, ĐGNL Bộ Công an, ĐGNL Bộ Quốc phòngTD - Click xem ngay) tại Tuyensinh247.com. Cập nhật bám sát bộ SGK mới, Thầy Cô giáo giỏi, 3 bước chi tiết: Nền tảng lớp 12; Luyện thi chuyên sâu; Luyện đề đủ dạng đáp ứng mọi kì thi.
![]() |
![]() |
![]() |
![]() |
![]() |
![]() |
![]() |
![]() |
Hỗ trợ - Hướng dẫn
-
024.7300.7989
-
1800.6947
(Thời gian hỗ trợ từ 7h đến 22h)
Email: lienhe@tuyensinh247.com












