Ở người gen quy định nhóm máu có 3 alen nằm trên nhiễm sắc thể thường, trong đó kiểu gen
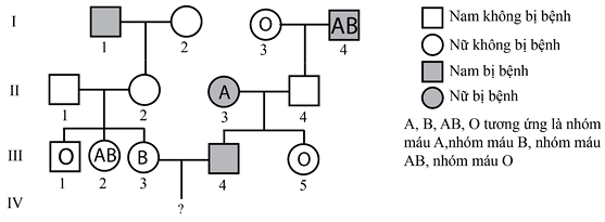
Ở người gen quy định nhóm máu có 3 alen nằm trên nhiễm sắc thể thường, trong đó kiểu gen IAIA và IAIO đều quy định nhóm máu A; kiểu gen IBIB và IBIO đều quy định nhóm máu B; kiểu gen IAIB quy định nhóm máu AB; kiểu gen IOIO quy định nhóm máu O. Bệnh mù màu do một gen có 2 alen quy định, trội hoàn toàn và nằm trên vùng không tương đồng của nhiễm sắc thể X. Cho sơ đồ phả hệ

Biết rằng không phát sinh đột biến mới ở tất cả mọi người trong phả hệ. Theo lí thuyết, có bao nhiêu phát biểu sau đây đúng?
I. Xác định được tối đa kiểu gen của 4 người trong phả hệ.
II. III1 và III5 có kiểu gen giống nhau.
III. II2 và II4 có thể có nhóm máu A hoặc B.
IV. Cặp vợ chồng III3 – III4 sinh con nhóm máu O và không bị bệnh với xác suất 3/16
Đáp án đúng là: D
Quảng cáo
Bước 1: Quy ước gen
Bước 2: Xác định kiểu gen của những người trong phả hệ
Bước 3: Xét các phát biểu.
Đáp án cần chọn là: D
>> 2K9 Chú ý! Lộ Trình Sun 2027 - 1 lộ trình ôn đa kỳ thi (TN THPT, ĐGNL (Hà Nội/ Hồ Chí Minh), ĐGNL Sư Phạm, ĐGTD, ĐGNL Bộ Công an, ĐGNL Bộ Quốc phòngTD - Click xem ngay) tại Tuyensinh247.com. Cập nhật bám sát bộ SGK mới, Thầy Cô giáo giỏi, 3 bước chi tiết: Nền tảng lớp 12; Luyện thi chuyên sâu; Luyện đề đủ dạng đáp ứng mọi kì thi.
![]() |
![]() |
![]() |
![]() |
![]() |
![]() |
![]() |
![]() |
Hỗ trợ - Hướng dẫn
-
024.7300.7989
-
1800.6947
(Thời gian hỗ trợ từ 7h đến 22h)
Email: lienhe@tuyensinh247.com













