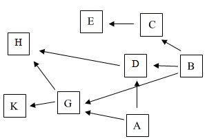
Xét một lưới thức ăn được mô tả như hình bên. Theo lí thuyết, có bao nhiêu phát biểu sau
Xét một lưới thức ăn được mô tả như hình bên. Theo lí thuyết, có bao nhiêu phát biểu sau đây đúng?

I. Loài H có thể là một loài động vật không xương sống.
II. Lưới thức ăn này có 7 chuỗi thức ăn.
III. Nếu loài A giảm số lượng thì loài B sẽ giảm số lượng.
IV. Nếu loài H giảm số lượng thì sẽ làm cho loài A giảm số lượng.
Đáp án đúng là: B
Quảng cáo
Chuỗi thức ăn là dãy gồm nhiều sinh vật có quan hệ gần gũi với nhau, mỗi loài là một mắt xích. Trong một chuỗi, một mắt xích vừa có nguồn gốc thức ăn vừa là nguồn thức ăn ở mắt xích phía sau.
Đáp án cần chọn là: B
>> 2K9 Chú ý! Lộ Trình Sun 2027 - 1 lộ trình ôn đa kỳ thi (TN THPT, ĐGNL (Hà Nội/ Hồ Chí Minh), ĐGNL Sư Phạm, ĐGTD, ĐGNL Bộ Công an, ĐGNL Bộ Quốc phòngTD - Click xem ngay) tại Tuyensinh247.com. Cập nhật bám sát bộ SGK mới, Thầy Cô giáo giỏi, 3 bước chi tiết: Nền tảng lớp 12; Luyện thi chuyên sâu; Luyện đề đủ dạng đáp ứng mọi kì thi.
![]() |
![]() |
![]() |
![]() |
![]() |
![]() |
![]() |
![]() |
Hỗ trợ - Hướng dẫn
-
024.7300.7989
-
1800.6947
(Thời gian hỗ trợ từ 7h đến 22h)
Email: lienhe@tuyensinh247.com












