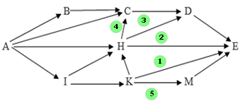
Một lưới thức ăn gồm có 9 loài được mô tả như hình bên. Theo lí thuyết, có bao nhiêu phát
Một lưới thức ăn gồm có 9 loài được mô tả như hình bên. Theo lí thuyết, có bao nhiêu phát biểu sau đây đúng?

I. Loài K tham gia vào 4 chuỗi thức ăn.
II. Có 12 chuỗi thức ăn, trong đó chuỗi dài nhất có 7 mắt xích.
III. Nếu loài H và C bị tuyệt diệt thì lưới thức ăn này chỉ có tối đa 6 loài.
IV. Tất cả các chuỗi thức ăn trên đều được bắt đầu từ một loài.
Đáp án đúng là: C
Quảng cáo
Đáp án cần chọn là: C
>> 2K9 Chú ý! Lộ Trình Sun 2027 - 1 lộ trình ôn đa kỳ thi (TN THPT, ĐGNL (Hà Nội/ Hồ Chí Minh), ĐGNL Sư Phạm, ĐGTD, ĐGNL Bộ Công an, ĐGNL Bộ Quốc phòngTD - Click xem ngay) tại Tuyensinh247.com. Cập nhật bám sát bộ SGK mới, Thầy Cô giáo giỏi, 3 bước chi tiết: Nền tảng lớp 12; Luyện thi chuyên sâu; Luyện đề đủ dạng đáp ứng mọi kì thi.
![]() |
![]() |
![]() |
![]() |
![]() |
![]() |
![]() |
![]() |
Hỗ trợ - Hướng dẫn
-
024.7300.7989
-
1800.6947
(Thời gian hỗ trợ từ 7h đến 22h)
Email: lienhe@tuyensinh247.com















