Nguyên tố A là một phi kim. Hợp chất khí của A với hiđro và oxit cao nhất của A có công thức
Nguyên tố A là một phi kim. Hợp chất khí của A với hiđro và oxit cao nhất của A có công thức hóa học lần lượt là HA (B) và A2O7 (T).
a) Tìm nguyên tố A. Biết khối lượng mol phân tử của T gấp 5,0137 lần khối lượng mol phân tử của B.
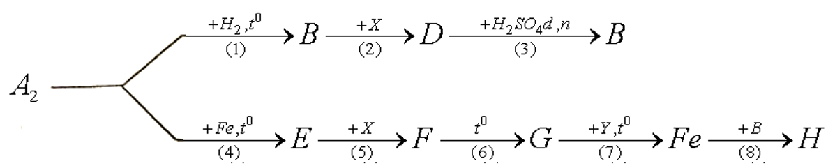
b) Biết phân tử A2 là đơn chất tạo bởi nguyên tố A. Xác định công thức hoá học của các chất: X, Y, E, F, G, H, D (không cần giải thích) và viết PTHH của các phản ứng xảy ra theo sơ đồ sau (mỗi mũi tên tương ứng với một PTHH):

Quảng cáo
Dựa vào tính chất hóa học các chất.
>> Học trực tuyến lớp 9 và Lộ trình UP10 trên Tuyensinh247.com Đầy đủ khoá học các bộ sách: Kết nối tri thức với cuộc sống; Chân trời sáng tạo; Cánh diều. Lộ trình học tập 3 giai đoạn: Học nền tảng lớp 9, Ôn thi vào lớp 10, Luyện Đề. Bứt phá điểm lớp 9, thi vào lớp 10 kết quả cao. Hoàn trả học phí nếu học không hiệu quả. PH/HS tham khảo chi tiết khoá học tại: Link
![]() |
![]() |
![]() |
![]() |
![]() |
![]() |
Hỗ trợ - Hướng dẫn
-
024.7300.7989
-
1800.6947
(Thời gian hỗ trợ từ 7h đến 22h)
Email: lienhe@tuyensinh247.com











