Hỗn hợp E chứa các axit béo no, các chất béo rắn và glixerol. Đốt cháy hoàn toàn 0,28 mol E cần
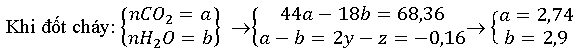
Hỗn hợp E chứa các axit béo no, các chất béo rắn và glixerol. Đốt cháy hoàn toàn 0,28 mol E cần vừa đủ 3,77 mol O2, sản phẩm cháy thu được thấy khối lượng CO2 lớn hơn khối lượng H2O là 68,36 gam. Khối lượng ứng với 0,28 mol E là m gam, biết E phản ứng được với tối đa 0,12 mol NaOH. Giá trị của m là
Đáp án đúng là: D
Quảng cáo
Dựa vào tính chất hóa học của các chất.
Đáp án cần chọn là: D
>> 2K9 Chú ý! Lộ Trình Sun 2027 - 1 lộ trình ôn đa kỳ thi (TN THPT, ĐGNL (Hà Nội/ Hồ Chí Minh), ĐGNL Sư Phạm, ĐGTD, ĐGNL Bộ Công an, ĐGNL Bộ Quốc phòngTD - Click xem ngay) tại Tuyensinh247.com. Cập nhật bám sát bộ SGK mới, Thầy Cô giáo giỏi, 3 bước chi tiết: Nền tảng lớp 12; Luyện thi chuyên sâu; Luyện đề đủ dạng đáp ứng mọi kì thi.
![]() |
![]() |
![]() |
![]() |
![]() |
![]() |
![]() |
![]() |
Hỗ trợ - Hướng dẫn
-
024.7300.7989
-
1800.6947
(Thời gian hỗ trợ từ 7h đến 22h)
Email: lienhe@tuyensinh247.com













