Người ta chuyển một số vi khuẩn E.coli mang các phân tử ADN vùng nhân chỉ chứa N15 sang môi
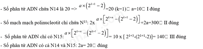
Người ta chuyển một số vi khuẩn E.coli mang các phân tử ADN vùng nhân chỉ chứa N15 sang môi trường chỉ có N14. Các vi khuẩn nói trên đều thực hiện nhân đôi 1 lần tạo ra các phân tử ADN, trong đó có 20 phân tử ADN chứa N14. Sau đó chuyển các vi khuẩn này được chuyển về môi trường chỉ chứa N15 và cho chúng nhân đôi tiếp 3 lần nữa. Có bao nhiêu phát biểu sau đây đúng?
I. Ban đầu có 10 phân tử ADN.
II. Sau khi kết thúc quá trình trên đã tạo ra 300 mạch polinucleotit chỉ chứa N15.
III. Sau khi kết thúc quá trình trên đã tạo ra 140 phân tử ADN chỉ chứa N15.
IV. Sau khi kết thúc quá trình trên có 20 phân tử ADN chứa cả hai loại N14 và N15.
Đáp án đúng là: A
Quảng cáo

Đáp án cần chọn là: A
>> 2K9 Chú ý! Lộ Trình Sun 2027 - 1 lộ trình ôn đa kỳ thi (TN THPT, ĐGNL (Hà Nội/ Hồ Chí Minh), ĐGNL Sư Phạm, ĐGTD, ĐGNL Bộ Công an, ĐGNL Bộ Quốc phòngTD - Click xem ngay) tại Tuyensinh247.com. Cập nhật bám sát bộ SGK mới, Thầy Cô giáo giỏi, 3 bước chi tiết: Nền tảng lớp 12; Luyện thi chuyên sâu; Luyện đề đủ dạng đáp ứng mọi kì thi.
![]() |
![]() |
![]() |
![]() |
![]() |
![]() |
![]() |
![]() |
Hỗ trợ - Hướng dẫn
-
024.7300.7989
-
1800.6947
(Thời gian hỗ trợ từ 7h đến 22h)
Email: lienhe@tuyensinh247.com













