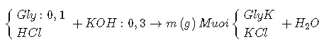
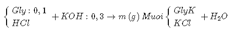
Cho 7,5 gam glyxin vào 150 ml dung dịch HCl, thu được dung dịch X. Cho X tác dụng vừa đủ với 300 ml
Cho 7,5 gam glyxin vào 150 ml dung dịch HCl, thu được dung dịch X. Cho X tác dụng vừa đủ với 300 ml dung dịch KOH 1M, thu được dung dịch Y. Cô cạn dung dịch Y thu được m gam chất rắn khan. Giá trị của m là
Đáp án đúng là: A
Quảng cáo
Để đơn giản ta coi dung dịch X chứa gly và HCl

nH2NCH2COOK = ngly
nKCl = nKOH - nH2NCH2COOK (BTNT’’K’’)
⟹ m
Đáp án cần chọn là: A
>> 2K8 Chú ý! Lộ Trình Sun 2026 - 3IN1 - 1 lộ trình ôn 3 kì thi (Luyện thi 26+ TN THPT, 90+ ĐGNL HN, 900+ ĐGNL HCM, 70+ ĐGTD - Click xem ngay) tại Tuyensinh247.com.Đầy đủ theo 3 đầu sách, Thầy Cô giáo giỏi, luyện thi theo 3 giai đoạn: Nền tảng lớp 12, Luyện thi chuyên sâu, Luyện đề đủ dạng đáp ứng mọi kì thi.
![]() |
![]() |
![]() |
![]() |
![]() |
![]() |
![]() |
![]() |
Hỗ trợ - Hướng dẫn
-
024.7300.7989
-
1800.6947
(Thời gian hỗ trợ từ 7h đến 22h)
Email: lienhe@tuyensinh247.com













