Dao động cơ học
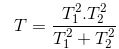
Hai lò xo L1 và L2 có cùng độ dài. Khi treo vật m vào lò xo L1 thì chu kỳ dao động của vật là T1= 0,6s, khi treo vật vào lò xo L2 thì chu kỳ dao động của vật là 0,8s. Nối hai lò xo với nhau ở cả hai đầu để được một lò xo cùng độ dài rồi treo vật vào hệ hai lò xo thì chu kỳ dao động của vật là
Đáp án đúng là: D
Quảng cáo
Đáp án cần chọn là: D
>> 2K9 Chú ý! Lộ Trình Sun 2027 - 1 lộ trình ôn đa kỳ thi (TN THPT, ĐGNL (Hà Nội/ Hồ Chí Minh), ĐGNL Sư Phạm, ĐGTD, ĐGNL Bộ Công an, ĐGNL Bộ Quốc phòngTD - Click xem ngay) tại Tuyensinh247.com. Cập nhật bám sát bộ SGK mới, Thầy Cô giáo giỏi, 3 bước chi tiết: Nền tảng lớp 12; Luyện thi chuyên sâu; Luyện đề đủ dạng đáp ứng mọi kì thi.
![]() |
![]() |
![]() |
![]() |
![]() |
![]() |
![]() |
![]() |
Hỗ trợ - Hướng dẫn
-
024.7300.7989
-
1800.6947
(Thời gian hỗ trợ từ 7h đến 22h)
Email: lienhe@tuyensinh247.com












