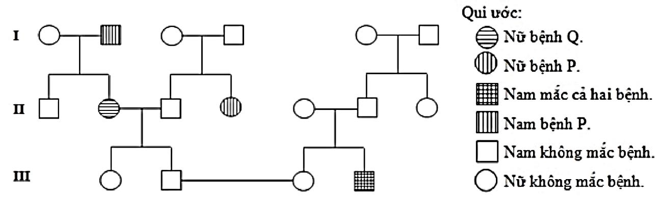
Phả hệ dưới đây mô phỏng sự di truyền của bệnh “P” và bệnh “Q” ở người. Hai bệnh
Phả hệ dưới đây mô phỏng sự di truyền của bệnh “P” và bệnh “Q” ở người. Hai bệnh này do hai alen lặn nằm trên hai cặp nhiễm sắc thể thường khác nhau gây ra.

Cho rằng không có đột biến mới phát sinh. Alen a gây bệnh bệnh p, alen b gây bệnh Q. Các alen trội tương ứng là A, B không gây bệnh (A, B trội hoàn toàn so với a và b). Nhận định nào sau đây đúng?
Đáp án đúng là: A
Quảng cáo
Bước 1: Xác định kiểu gen của những người trong phả hệ.
Bước 2: Xét các phát biểu.
Đáp án cần chọn là: A
>> 2K9 Chú ý! Lộ Trình Sun 2027 - 1 lộ trình ôn đa kỳ thi (TN THPT, ĐGNL (Hà Nội/ Hồ Chí Minh), ĐGNL Sư Phạm, ĐGTD, ĐGNL Bộ Công an, ĐGNL Bộ Quốc phòngTD - Click xem ngay) tại Tuyensinh247.com. Cập nhật bám sát bộ SGK mới, Thầy Cô giáo giỏi, 3 bước chi tiết: Nền tảng lớp 12; Luyện thi chuyên sâu; Luyện đề đủ dạng đáp ứng mọi kì thi.
![]() |
![]() |
![]() |
![]() |
![]() |
![]() |
![]() |
![]() |
Hỗ trợ - Hướng dẫn
-
024.7300.7989
-
1800.6947
(Thời gian hỗ trợ từ 7h đến 22h)
Email: lienhe@tuyensinh247.com













