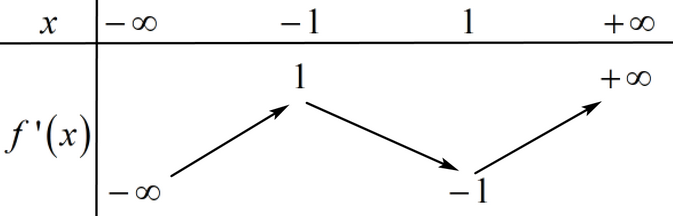
Cho hàm số y = f(x). Hàm số \(y' = f'\left( x \right)\) có bảng biến thiên như hình vẽ bên. Hàm số
Cho hàm số y = f(x). Hàm số \(y' = f'\left( x \right)\) có bảng biến thiên như hình vẽ bên. Hàm số \(g\left( x \right) = f\left( x \right) - x\) có bao nhiêu điểm cực trị?

Đáp án đúng là: B
Quảng cáo
Giải phương trình \(g'\left( x \right) = 0\). Sử dụng tương giao đồ thị hàm số.
Đáp án cần chọn là: B
>> 2K9 Chú ý! Lộ Trình Sun 2027 - 1 lộ trình ôn đa kỳ thi (TN THPT, ĐGNL (Hà Nội/ Hồ Chí Minh), ĐGNL Sư Phạm, ĐGTD, ĐGNL Bộ Công an, ĐGNL Bộ Quốc phòngTD - Click xem ngay) tại Tuyensinh247.com. Cập nhật bám sát bộ SGK mới, Thầy Cô giáo giỏi, 3 bước chi tiết: Nền tảng lớp 12; Luyện thi chuyên sâu; Luyện đề đủ dạng đáp ứng mọi kì thi.
![]() |
![]() |
![]() |
![]() |
![]() |
![]() |
![]() |
![]() |
Hỗ trợ - Hướng dẫn
-
024.7300.7989
-
1800.6947
(Thời gian hỗ trợ từ 7h đến 22h)
Email: lienhe@tuyensinh247.com












