Hòa tan hoàn toàn m gam hỗn hợp X gồm FeO, Fe3O4, FeS, FeS2, CuS và S trong dung dịch chứa 0,25 mol H2SO4
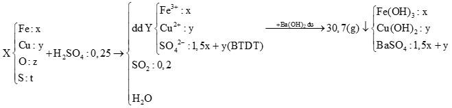
Hòa tan hoàn toàn m gam hỗn hợp X gồm FeO, Fe3O4, FeS, FeS2, CuS và S trong dung dịch chứa 0,25 mol H2SO4 đặc, nóng (vừa đủ). Sau phản ứng thu được dung dịch Y và có 4,48 lít khí (đktc) SO2 thoát ra. Cho dung dịch Ba(OH)2 dư vào dung dịch thu được 30,7 gam kết tủa. Mặt khác, hòa tan hết m gam X bằng dung dịch HNO3 đặc, nóng thấy thoát ra hỗn hợp chứa a mol NO2 và 0,02 mol SO2. Dung dịch sau phản ứng chứa 15,56 gam hỗn hợp muối. Giá trị của a là
Đáp án đúng là: B
Quảng cáo
Quy đổi X thành: Fe (x mol), Cu (y mol), O (z mol), S (t mol)

(2) Khối lượng kết tủa
(3) ΒT electron: 3nFe + 2nCu + 6nS = 2nO + 2nSO2

(4) Khối lượng muối thu được
Giải hệ (1), (2), (3), (4) được giá trị của x, y, z, t.
ΒT electron: 3nFe + 2nCu + 4nSO2 + 6nSO42- = 2nO + nNO2
⟹ Giá trị của a.
Đáp án cần chọn là: B
>> 2K9 Chú ý! Lộ Trình Sun 2027 - 1 lộ trình ôn đa kỳ thi (TN THPT, ĐGNL (Hà Nội/ Hồ Chí Minh), ĐGNL Sư Phạm, ĐGTD, ĐGNL Bộ Công an, ĐGNL Bộ Quốc phòngTD - Click xem ngay) tại Tuyensinh247.com. Cập nhật bám sát bộ SGK mới, Thầy Cô giáo giỏi, 3 bước chi tiết: Nền tảng lớp 12; Luyện thi chuyên sâu; Luyện đề đủ dạng đáp ứng mọi kì thi.
![]() |
![]() |
![]() |
![]() |
![]() |
![]() |
![]() |
![]() |
Hỗ trợ - Hướng dẫn
-
024.7300.7989
-
1800.6947
(Thời gian hỗ trợ từ 7h đến 22h)
Email: lienhe@tuyensinh247.com














