Cho sơ đồ phả hệ sau:Biết rằng hai cặp gen quy định hai tính trạng nói trên không cùng nằm
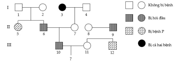
Cho sơ đồ phả hệ sau:

Biết rằng hai cặp gen quy định hai tính trạng nói trên không cùng nằm trong một nhóm gen liên kết; bệnh hói đầu do alen trội H nằm trên nhiễm sắc thể thường quy định, kiểu gen dị hợp Hh biểu hiện hói đầu ở người nam và không hói đầu ở người nữ và quần thể này ở trạng thái cân bằng và có tỉ lệ người bị hói đầu là 20%.
Theo lí thuyết, có bao nhiêu phát biểu sau đây đúng?
I. Có tối đa 9 người có kiểu gen đồng hợp về tính trạng hói đầu.
II. Có 7 người xác định được chính xác kiểu gen về cả hai bệnh.
III. Khả năng người số 10 mang ít nhất 1 alen lặn là 13/15.
IV. Xác suất để cặp vợ chồng số 10 và 11 sinh ra một đứa con gái không hói đầu và không mang alen gây bệnh P là 9/11.
Đáp án đúng là: A
Quảng cáo
Vận dụng kiến thức về quy luật di truyền và di truyền quần thể để giải bài tập.
Đáp án cần chọn là: A
>> 2K9 Chú ý! Lộ Trình Sun 2027 - 1 lộ trình ôn đa kỳ thi (TN THPT, ĐGNL (Hà Nội/ Hồ Chí Minh), ĐGNL Sư Phạm, ĐGTD, ĐGNL Bộ Công an, ĐGNL Bộ Quốc phòngTD - Click xem ngay) tại Tuyensinh247.com. Cập nhật bám sát bộ SGK mới, Thầy Cô giáo giỏi, 3 bước chi tiết: Nền tảng lớp 12; Luyện thi chuyên sâu; Luyện đề đủ dạng đáp ứng mọi kì thi.
![]() |
![]() |
![]() |
![]() |
![]() |
![]() |
![]() |
![]() |
Hỗ trợ - Hướng dẫn
-
024.7300.7989
-
1800.6947
(Thời gian hỗ trợ từ 7h đến 22h)
Email: lienhe@tuyensinh247.com












