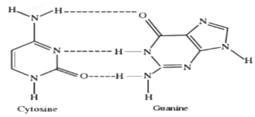
Các liên kết biểu diễn bằng các đường nét đứt có vai trò quan trọng trong việc làm bền
Các liên kết biểu diễn bằng các đường nét đứt có vai trò quan trọng trong việc làm bền chuỗi xoắn đôi DNA. Đó là loại liên kết nào sau đây?

Đáp án đúng là: C
Quảng cáo
Dựa vào lý thuyết về liên kết hydrogen.
Đáp án cần chọn là: C
>> Học trực tuyến Lớp 10 cùng thầy cô giáo giỏi tại Tuyensinh247.com, (Xem ngay) Cam kết giúp học sinh học tốt, bứt phá điểm 9,10 chỉ sau 3 tháng, làm quen kiến thức, định hướng luyện thi TN THPT, ĐGNL, ĐGTD ngay từ lớp 10
![]() |
![]() |
![]() |
![]() |
![]() |
![]() |
![]() |
![]() |
Hỗ trợ - Hướng dẫn
-
024.7300.7989
-
1800.6947
(Thời gian hỗ trợ từ 7h đến 22h)
Email: lienhe@tuyensinh247.com












