Sóng cơ và Sóng âm
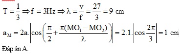
Hai điểm O1, O2 trên mặt chất lỏng dao động điều hòa ngược pha với chu kì 1/3s. Biên độ 1cm. Tốc độ truyền sóng trên mặt nước là 27cm/s. M là một điểm trên mặt chất lỏng cách O1, O2 lần lượt 9cm, 10,5cm. Cho rằng biên độ sóng không đổi trong quá trình truyền sóng. Biên độ sóng tổng hợp tại M là:
Đáp án đúng là: A
Quảng cáo
Đáp án cần chọn là: A
>> 2K9 Chú ý! Lộ Trình Sun 2027 - 1 lộ trình ôn đa kỳ thi (TN THPT, ĐGNL (Hà Nội/ Hồ Chí Minh), ĐGNL Sư Phạm, ĐGTD, ĐGNL Bộ Công an, ĐGNL Bộ Quốc phòngTD - Click xem ngay) tại Tuyensinh247.com. Cập nhật bám sát bộ SGK mới, Thầy Cô giáo giỏi, 3 bước chi tiết: Nền tảng lớp 12; Luyện thi chuyên sâu; Luyện đề đủ dạng đáp ứng mọi kì thi.
![]() |
![]() |
![]() |
![]() |
![]() |
![]() |
![]() |
![]() |
Hỗ trợ - Hướng dẫn
-
024.7300.7989
-
1800.6947
(Thời gian hỗ trợ từ 7h đến 22h)
Email: lienhe@tuyensinh247.com













