Khi đun nóng HI trong một bình kín, xảy ra phản ứng sau: 2HI(g) ⇌ H2(g) + I2 (g)
Khi đun nóng HI trong một bình kín, xảy ra phản ứng sau:
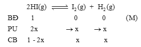
2HI(g) ⇌ H2(g) + I2 (g) ∆H0298 > 0
Ở to C hằng số cân bằng KC của phản ứng bằng \(\dfrac{1}{{81}}\). Phần trăm HI bị phân hủy ở nhiệt độ trên là
Đáp án đúng là: A
Quảng cáo
Dựa vào lý thuyết về cân bằng hoá học.
Đáp án cần chọn là: A
>> 2K9 Chú ý! Lộ Trình Sun 2027 - 1 lộ trình ôn đa kỳ thi (TN THPT, ĐGNL (Hà Nội/ Hồ Chí Minh), ĐGNL Sư Phạm, ĐGTD, ĐGNL Bộ Công an, ĐGNL Bộ Quốc phòngTD - Click xem ngay) tại Tuyensinh247.com. Cập nhật bám sát bộ SGK mới, Thầy Cô giáo giỏi, 3 bước chi tiết: Nền tảng lớp 12; Luyện thi chuyên sâu; Luyện đề đủ dạng đáp ứng mọi kì thi.
![]() |
![]() |
![]() |
![]() |
![]() |
![]() |
![]() |
![]() |
Hỗ trợ - Hướng dẫn
-
024.7300.7989
-
1800.6947
(Thời gian hỗ trợ từ 7h đến 22h)
Email: lienhe@tuyensinh247.com













