Tĩnh điện học
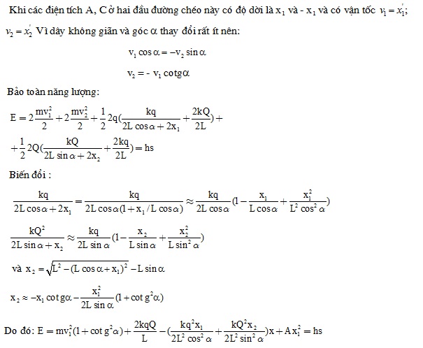
Bốn hạt nhỏ A, B, C, D có cùng khối lượng m và đều mang điện tích dương, được nối với nhau bằng bốn sợi dây mảnh có cùng chiều dài L trong không khí. Các dây không giãn, khối lượng của dây không đáng kể. Từng cặp hai hạt A và C, B và D có điện tích bằng nhau. Biết điện tích của mỗi hạt A, C bằng q. Khi hệ cân bằng, bốn điện tích ở bốn đỉnh của hình thoi ABCD có góc ở các đỉnh A, C là 2a (hình vẽ). Bỏ qua tác dụng của lực hấp dẫn và lực cản của môi trường.

Trả lời cho các câu 1, 2, 3 dưới đây:
Quảng cáo
>> 2K9 Chú ý! Lộ Trình Sun 2027 - 1 lộ trình ôn đa kỳ thi (TN THPT, ĐGNL (Hà Nội/ Hồ Chí Minh), ĐGNL Sư Phạm, ĐGTD, ĐGNL Bộ Công an, ĐGNL Bộ Quốc phòngTD - Click xem ngay) tại Tuyensinh247.com. Cập nhật bám sát bộ SGK mới, Thầy Cô giáo giỏi, 3 bước chi tiết: Nền tảng lớp 12; Luyện thi chuyên sâu; Luyện đề đủ dạng đáp ứng mọi kì thi.
![]() |
![]() |
![]() |
![]() |
![]() |
![]() |
![]() |
![]() |
Hỗ trợ - Hướng dẫn
-
024.7300.7989
-
1800.6947
(Thời gian hỗ trợ từ 7h đến 22h)
Email: lienhe@tuyensinh247.com
















