Dành cho chương trình nâng cao Cho mạch điện như hình: Nguồn điện có suất điện động E và
Dành cho chương trình nâng cao
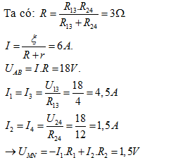
Cho mạch điện như hình:
Nguồn điện có suất điện động E và điện trở trong
r = 1 Ω. Các điện trở R1 = 1 Ω ; R2 = 4 Ω ; R3 = 3 Ω ; R4 = 8 Ω.
Tính: hiệu điện thế UMN.

Quảng cáo
>> 2K9 Chú ý! Lộ Trình Sun 2027 - 1 lộ trình ôn đa kỳ thi (TN THPT, ĐGNL (Hà Nội/ Hồ Chí Minh), ĐGNL Sư Phạm, ĐGTD, ĐGNL Bộ Công an, ĐGNL Bộ Quốc phòngTD - Click xem ngay) tại Tuyensinh247.com. Cập nhật bám sát bộ SGK mới, Thầy Cô giáo giỏi, 3 bước chi tiết: Nền tảng lớp 12; Luyện thi chuyên sâu; Luyện đề đủ dạng đáp ứng mọi kì thi.
![]() |
![]() |
![]() |
![]() |
![]() |
![]() |
![]() |
![]() |
Hỗ trợ - Hướng dẫn
-
024.7300.7989
-
1800.6947
(Thời gian hỗ trợ từ 7h đến 22h)
Email: lienhe@tuyensinh247.com













