Dành cho chương trình nâng cao Một nguồn điện có suất điện động , điện trở trong r, cấp
Dành cho chương trình nâng cao
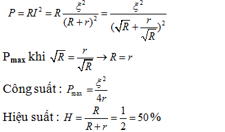
Một nguồn điện có suất điện động
, điện trở trong r, cấp điện cho một mạch ngoài có điện trở R thay đổi được. Xác định R để công suất mạch ngoài cực đại? Tính công suất cực đại đó và hiệu suất của nguồn điện khi đó.
Quảng cáo
>> 2K9 Học trực tuyến - Định hướng luyện thi TN THPT, ĐGNL, ĐGTD ngay từ lớp 11 (Xem ngay) cùng thầy cô giáo giỏi trên Tuyensinh247.com. Bứt phá điểm 9,10 chỉ sau 3 tháng, tiếp cận sớm các kì thi.
![]() |
![]() |
![]() |
![]() |
![]() |
![]() |
![]() |
![]() |
Hỗ trợ - Hướng dẫn
-
024.7300.7989
-
1800.6947
(Thời gian hỗ trợ từ 7h đến 22h)
Email: lienhe@tuyensinh247.com













