Dành cho chương trình cơ bản Hai điện tích q1 = 6.10-8 C, q2 = - 6.10-8 C đặt tại hai điểm A và
Dành cho chương trình cơ bản
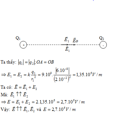
Hai điện tích q1 = 6.10-8 C, q2 = - 6.10-8 C đặt tại hai điểm A và B cách nhau một khoảng 4cm trong không khí. Xác định cường độ điện trường do q1 và q2 tác dụng lên điểm O, khi O đặt tại trung điểm của AB
Quảng cáo
>> 2K9 Chú ý! Lộ Trình Sun 2027 - 1 lộ trình ôn đa kỳ thi (TN THPT, ĐGNL (Hà Nội/ Hồ Chí Minh), ĐGNL Sư Phạm, ĐGTD, ĐGNL Bộ Công an, ĐGNL Bộ Quốc phòngTD - Click xem ngay) tại Tuyensinh247.com. Cập nhật bám sát bộ SGK mới, Thầy Cô giáo giỏi, 3 bước chi tiết: Nền tảng lớp 12; Luyện thi chuyên sâu; Luyện đề đủ dạng đáp ứng mọi kì thi.
![]() |
![]() |
![]() |
![]() |
![]() |
![]() |
![]() |
![]() |
Hỗ trợ - Hướng dẫn
-
024.7300.7989
-
1800.6947
(Thời gian hỗ trợ từ 7h đến 22h)
Email: lienhe@tuyensinh247.com













