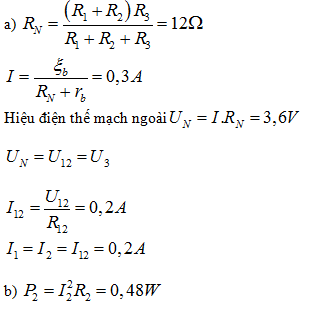
Dành cho chương trình nâng cao Cho mạch điện có sơ đồ như hình vẽ trong đó suất điện
Dành cho chương trình nâng cao
Cho mạch điện có sơ đồ như hình vẽ
trong đó suất điện động và điện trở trong các nguồn điện tương ứng là
Các điện trở ở mạch ngoài là

a. Tính cường độ dòng điện qua mạch.
b. Công suất tiêu thụ điện năng P2 của điện trở R2

Quảng cáo
>> 2K9 Chú ý! Lộ Trình Sun 2027 - 1 lộ trình ôn đa kỳ thi (TN THPT, ĐGNL (Hà Nội/ Hồ Chí Minh), ĐGNL Sư Phạm, ĐGTD, ĐGNL Bộ Công an, ĐGNL Bộ Quốc phòngTD - Click xem ngay) tại Tuyensinh247.com. Cập nhật bám sát bộ SGK mới, Thầy Cô giáo giỏi, 3 bước chi tiết: Nền tảng lớp 12; Luyện thi chuyên sâu; Luyện đề đủ dạng đáp ứng mọi kì thi.
![]() |
![]() |
![]() |
![]() |
![]() |
![]() |
![]() |
![]() |
Hỗ trợ - Hướng dẫn
-
024.7300.7989
-
1800.6947
(Thời gian hỗ trợ từ 7h đến 22h)
Email: lienhe@tuyensinh247.com













