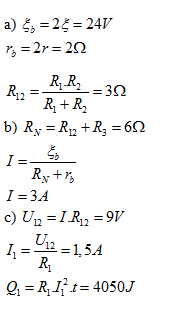
Dành cho chương trình cơ bản Cho mạch điện như sơ đồ hình vẽ. Trong đó nguồn điện có suất
Dành cho chương trình cơ bản
Cho mạch điện như sơ đồ hình vẽ. Trong đó nguồn điện có suất điện động
, điện trở trong r=1 Ω, các điện trở mạch ngoài
R1=R2=6Ω; R3=3Ω.
a) Tính suất điện động và điện trở trong của bộ nguồn ?
b) Tìm điện trở tương đương của mạch ngoài và cường độ dòng điện chạy trong
mạch chính ?
c) Tính nhiệt lượng tỏa ra trên điện trở R1 trong 5 phút ?

Quảng cáo
>> 2K9 Học trực tuyến - Định hướng luyện thi TN THPT, ĐGNL, ĐGTD ngay từ lớp 11 (Xem ngay) cùng thầy cô giáo giỏi trên Tuyensinh247.com. Bứt phá điểm 9,10 chỉ sau 3 tháng, tiếp cận sớm các kì thi.
![]() |
![]() |
![]() |
![]() |
![]() |
![]() |
![]() |
![]() |
Hỗ trợ - Hướng dẫn
-
024.7300.7989
-
1800.6947
(Thời gian hỗ trợ từ 7h đến 22h)
Email: lienhe@tuyensinh247.com













