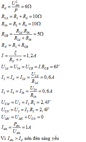
Dành cho chương trình nâng cao Cho mạch điện như sơ đồ hình vẽ. Trong đó nguồn có r=1 Ω ,
Dành cho chương trình nâng cao
Cho mạch điện như sơ đồ hình vẽ.
Trong đó nguồn có
r=1 Ω , R1=R2= R3 =4Ω ; R3=6Ω; đèn Đ loại 6V - 6W .
a)Tính điện trở tương đương của mạch ngoài ?
b)Tìm cường độ dòng điện qua mạch chính và hiệu
c) điện thế giữa hai điểm M và N ?
d) Cho biết bóng đèn Đ có sáng bình thường không ? Vì sao ?

Quảng cáo
>> 2K9 Học trực tuyến - Định hướng luyện thi TN THPT, ĐGNL, ĐGTD ngay từ lớp 11 (Xem ngay) cùng thầy cô giáo giỏi trên Tuyensinh247.com. Bứt phá điểm 9,10 chỉ sau 3 tháng, tiếp cận sớm các kì thi.
![]() |
![]() |
![]() |
![]() |
![]() |
![]() |
![]() |
![]() |
Hỗ trợ - Hướng dẫn
-
024.7300.7989
-
1800.6947
(Thời gian hỗ trợ từ 7h đến 22h)
Email: lienhe@tuyensinh247.com













