Cho bảng số liệu sau: TỔNG SỐ DÂN, SỐ DÂN THÀNH THỊ CỦA THÁI LAN VÀ IN-ĐÔ-NÊ-XI-A NĂM 2000 VÀ
Cho bảng số liệu sau:
TỔNG SỐ DÂN, SỐ DÂN THÀNH THỊ CỦA THÁI LAN VÀ IN-ĐÔ-NÊ-XI-A
NĂM 2000 VÀ NĂM 2020
(Đơn vị: triệu người)

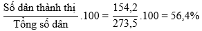
Căn cứ bảng số liệu, cho biết nhận xét nào đúng về tỉ lệ dân thành thị của Thái Lan và In-đô-nê-xi-a?
Đáp án đúng là: C
Quảng cáo
Nhận xét bảng số liệu.
Đáp án cần chọn là: C
>> 2K9 Chú ý! Lộ Trình Sun 2027 - 1 lộ trình ôn đa kỳ thi (TN THPT, ĐGNL (Hà Nội/ Hồ Chí Minh), ĐGNL Sư Phạm, ĐGTD, ĐGNL Bộ Công an, ĐGNL Bộ Quốc phòngTD - Click xem ngay) tại Tuyensinh247.com. Cập nhật bám sát bộ SGK mới, Thầy Cô giáo giỏi, 3 bước chi tiết: Nền tảng lớp 12; Luyện thi chuyên sâu; Luyện đề đủ dạng đáp ứng mọi kì thi.
![]() |
![]() |
![]() |
![]() |
![]() |
![]() |
![]() |
![]() |
Hỗ trợ - Hướng dẫn
-
024.7300.7989
-
1800.6947
(Thời gian hỗ trợ từ 7h đến 22h)
Email: lienhe@tuyensinh247.com
















