Dành cho chương trình chuẩn Một chiếc thuyền chuyển động thẳng ngược chiều dòng nước với
Dành cho chương trình chuẩn
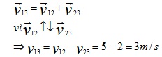
Một chiếc thuyền chuyển động thẳng ngược chiều dòng nước với vận tốc 18km/h đối với dòng nước. Vận tốc chảy của dòng nước đối với bờ sông là 2m/s. Tính vận tốc của thuyền đối với bờ ?
Quảng cáo
>> Học trực tuyến Lớp 10 cùng thầy cô giáo giỏi tại Tuyensinh247.com, (Xem ngay) Cam kết giúp học sinh học tốt, bứt phá điểm 9,10 chỉ sau 3 tháng, làm quen kiến thức, định hướng luyện thi TN THPT, ĐGNL, ĐGTD ngay từ lớp 10
![]() |
![]() |
![]() |
![]() |
![]() |
![]() |
![]() |
![]() |
Hỗ trợ - Hướng dẫn
-
024.7300.7989
-
1800.6947
(Thời gian hỗ trợ từ 7h đến 22h)
Email: lienhe@tuyensinh247.com













