Dành cho chương trình nâng cao Tính gia tốc rơi tự do ở độ cao 15km so với mặt đất. Biết gia
Dành cho chương trình nâng cao
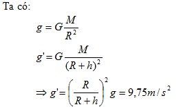
Tính gia tốc rơi tự do ở độ cao 15km so với mặt đất. Biết gia tốc rơi tự do ở mặt đất là g=9.8m/s2, bán kính Trái Đất là R=6400km?
Quảng cáo
>> Học trực tuyến Lớp 10 cùng thầy cô giáo giỏi tại Tuyensinh247.com, (Xem ngay) Cam kết giúp học sinh học tốt, bứt phá điểm 9,10 chỉ sau 3 tháng, làm quen kiến thức, định hướng luyện thi TN THPT, ĐGNL, ĐGTD ngay từ lớp 10
![]() |
![]() |
![]() |
![]() |
![]() |
![]() |
![]() |
![]() |
Hỗ trợ - Hướng dẫn
-
024.7300.7989
-
1800.6947
(Thời gian hỗ trợ từ 7h đến 22h)
Email: lienhe@tuyensinh247.com













