Cao su thiên nhiên có nhiều ứng dụng quan trọng trong đời sống. Một đoạn mạch cao su thiên
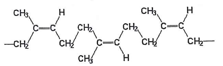
Cao su thiên nhiên có nhiều ứng dụng quan trọng trong đời sống. Một đoạn mạch cao su thiên nhiên có cấu tạo như hình dưới đây:
Cho các phát biểu sau:
(a) Đoạn mạch trên có 3 mắt xich.
(b) Cao su thiên nhiên là polime của isopren.
(c) Phần trăm khối lượng cacbon trong một mắt xích là 88,24%.
(d) Cao su thiên nhiên có tính đàn hồi tốt hơn cao su lưu hóa.
(e) Trùng ngưng 2-metylbuta-1,3-đien thu được cao su thiên nhiên.

Số phát biểu đúng là
Đáp án đúng là: D
Quảng cáo
Dựa vào cấu tạo cảu một đoạn cao su thiên nhiên
Đáp án cần chọn là: D
>> 2K9 Chú ý! Lộ Trình Sun 2027 - 1 lộ trình ôn đa kỳ thi (TN THPT, ĐGNL (Hà Nội/ Hồ Chí Minh), ĐGNL Sư Phạm, ĐGTD, ĐGNL Bộ Công an, ĐGNL Bộ Quốc phòngTD - Click xem ngay) tại Tuyensinh247.com. Cập nhật bám sát bộ SGK mới, Thầy Cô giáo giỏi, 3 bước chi tiết: Nền tảng lớp 12; Luyện thi chuyên sâu; Luyện đề đủ dạng đáp ứng mọi kì thi.
![]() |
![]() |
![]() |
![]() |
![]() |
![]() |
![]() |
![]() |
Hỗ trợ - Hướng dẫn
-
024.7300.7989
-
1800.6947
(Thời gian hỗ trợ từ 7h đến 22h)
Email: lienhe@tuyensinh247.com












