Xác định \({\rm{a}}\) và \({\rm{b}}\) để đa thức \(2{{\rm{x}}^3} - {{\rm{x}}^2} + {\rm{ax}} + {\rm{b}}\)
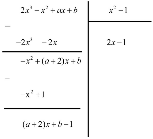
Xác định \({\rm{a}}\) và \({\rm{b}}\) để đa thức \(2{{\rm{x}}^3} - {{\rm{x}}^2} + {\rm{ax}} + {\rm{b}}\) chia hết cho đa thức \({{\rm{x}}^2} - 1\)
Quảng cáo
Thực hiện phép chia.
>> Học trực tuyến lớp 7 trên Tuyensinh247.com. Đầy đủ khoá học các bộ sách: Kết nối tri thức với cuộc sống; Chân trời sáng tạo; Cánh diều. Cam kết giúp học sinh lớp 7 học tốt, hoàn trả học phí nếu học không hiệu quả. PH/HS tham khảo chi tiết khoá học tại: Link
![]() |
![]() |
![]() |
![]() |
![]() |
![]() |
Hỗ trợ - Hướng dẫn
-
024.7300.7989
-
1800.6947
(Thời gian hỗ trợ từ 7h đến 22h)
Email: lienhe@tuyensinh247.com











