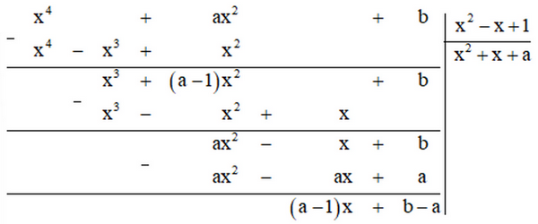
Xác định các hằng số a và b sao cho đa thức x4 + ax2 + b chia hết cho đa thức x2 – x +
Xác định các hằng số a và b sao cho đa thức x4 + ax2 + b chia hết cho đa thức x2 – x + 1.
Quảng cáo
Xác định được hệ số của đa thức một biến để đa thức thỏa mãn yêu cầu, vận dụng tính chất của phép chia đa thức một biến để giải toán.
>> Học trực tuyến lớp 7 trên Tuyensinh247.com. Đầy đủ khoá học các bộ sách: Kết nối tri thức với cuộc sống; Chân trời sáng tạo; Cánh diều. Cam kết giúp học sinh lớp 7 học tốt, hoàn trả học phí nếu học không hiệu quả. PH/HS tham khảo chi tiết khoá học tại: Link
![]() |
![]() |
![]() |
![]() |
![]() |
![]() |
Hỗ trợ - Hướng dẫn
-
024.7300.7989
-
1800.6947
(Thời gian hỗ trợ từ 7h đến 22h)
Email: lienhe@tuyensinh247.com











