Một đoạn mạch điện xoay chiều gồm điện trở thuần, cuộn cảm thuần và tụ điện mắc
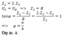
Một đoạn mạch điện xoay chiều gồm điện trở thuần, cuộn cảm thuần và tụ điện mắc nối tiếp. Biết cảm kháng gấp đôi dung kháng. Dùng vôn kế xoay chiều (điện trở rất lớn) đo điện áp giữa hai đầu tụ điện và điện áp giữa hai đầu điện trở thì số chỉ của vôn kế là như nhau. Độ lệch pha của điện áp giữa hai đầu đoạn mạch so với cường độ dòng điện trong đoạn mạch là
Đáp án đúng là: A
Quảng cáo
Đáp án cần chọn là: A
>> 2K9 Chú ý! Lộ Trình Sun 2027 - 1 lộ trình ôn đa kỳ thi (TN THPT, ĐGNL (Hà Nội/ Hồ Chí Minh), ĐGNL Sư Phạm, ĐGTD, ĐGNL Bộ Công an, ĐGNL Bộ Quốc phòngTD - Click xem ngay) tại Tuyensinh247.com. Cập nhật bám sát bộ SGK mới, Thầy Cô giáo giỏi, 3 bước chi tiết: Nền tảng lớp 12; Luyện thi chuyên sâu; Luyện đề đủ dạng đáp ứng mọi kì thi.
![]() |
![]() |
![]() |
![]() |
![]() |
![]() |
![]() |
![]() |
Hỗ trợ - Hướng dẫn
-
024.7300.7989
-
1800.6947
(Thời gian hỗ trợ từ 7h đến 22h)
Email: lienhe@tuyensinh247.com













