Cho sơ đồ phả hệ sau:Bệnh P được quy định bởi gen trội (P) nằm trên NST thường; bệnh Q
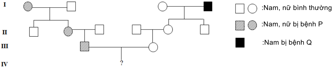
Cho sơ đồ phả hệ sau:

Bệnh P được quy định bởi gen trội (P) nằm trên NST thường; bệnh Q được quy định bởi gen lặn (q) nằm trên nhiễm sắc thể giưới tính X, không có alen tương ứng trên Y. Biết rằng không có đột biến mới xảy ra. Xác suất để cặp vợ chồng ở thế hệ thứ III trong sơ đồ phả hệ trên sinh con đầu lòng là con trai và mắc cả hai bệnh P và Q.
Đáp án đúng là: B
Quảng cáo
Vận dụng kiến thức đã học về di truyền học người.
Đáp án cần chọn là: B
>> 2K9 Chú ý! Lộ Trình Sun 2027 - 1 lộ trình ôn đa kỳ thi (TN THPT, ĐGNL (Hà Nội/ Hồ Chí Minh), ĐGNL Sư Phạm, ĐGTD, ĐGNL Bộ Công an, ĐGNL Bộ Quốc phòngTD - Click xem ngay) tại Tuyensinh247.com. Cập nhật bám sát bộ SGK mới, Thầy Cô giáo giỏi, 3 bước chi tiết: Nền tảng lớp 12; Luyện thi chuyên sâu; Luyện đề đủ dạng đáp ứng mọi kì thi.
![]() |
![]() |
![]() |
![]() |
![]() |
![]() |
![]() |
![]() |
Hỗ trợ - Hướng dẫn
-
024.7300.7989
-
1800.6947
(Thời gian hỗ trợ từ 7h đến 22h)
Email: lienhe@tuyensinh247.com












