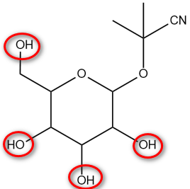
Linamarin là một glucoside có mặt trong lá và rễ của cây sắn, là nguyên nhân gây ra say sẵn hay
Linamarin là một glucoside có mặt trong lá và rễ của cây sắn, là nguyên nhân gây ra say sẵn hay ngộ độc sấn. Linarnarin có cấu tạo phân tử

Số nhóm chức alcohol trong phân tử linamarin là
Đáp án đúng là: B
Quảng cáo
Alcohol là hợp chất hữu cơ có nhóm -OH liên kết trực tiếp với carbon no.
Đáp án cần chọn là: B
>> 2K9 Chú ý! Lộ Trình Sun 2027 - 1 lộ trình ôn đa kỳ thi (TN THPT, ĐGNL (Hà Nội/ Hồ Chí Minh), ĐGNL Sư Phạm, ĐGTD, ĐGNL Bộ Công an, ĐGNL Bộ Quốc phòngTD - Click xem ngay) tại Tuyensinh247.com. Cập nhật bám sát bộ SGK mới, Thầy Cô giáo giỏi, 3 bước chi tiết: Nền tảng lớp 12; Luyện thi chuyên sâu; Luyện đề đủ dạng đáp ứng mọi kì thi.
![]() |
![]() |
![]() |
![]() |
![]() |
![]() |
![]() |
![]() |
Hỗ trợ - Hướng dẫn
-
024.7300.7989
-
1800.6947
(Thời gian hỗ trợ từ 7h đến 22h)
Email: lienhe@tuyensinh247.com













