Cho các phát biểu
Cho các phát biểu sau:

| Đúng | Sai | |
|---|---|---|
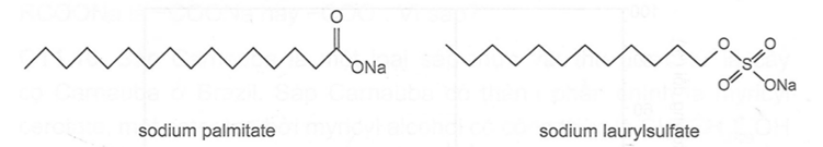
| a) Sodium palmitate và sodium laurylsulfate đều là thành phần chính của xà phòng. | ||
| b) Sodium palmitate và sodium laurylsulfate đều có tính năng giặt rửa. | ||
| c) Sodium palmitate và sodium laurylsulfate đều được điều chế trực tiếp từ palmitic acid. | ||
| d) Sodium palmitate và sodium laurylsulfate đều có đầu ưa nước gắn với đuôi kị nước. |
Đáp án đúng là: S; Đ; S; Đ
Quảng cáo
Đặc điểm cấu tạo xà phòng, chất tẩy rửa tổng hợp.
Đáp án cần chọn là: S; Đ; S; Đ
>> 2K9 Chú ý! Lộ Trình Sun 2027 - 1 lộ trình ôn đa kỳ thi (TN THPT, ĐGNL (Hà Nội/ Hồ Chí Minh), ĐGNL Sư Phạm, ĐGTD, ĐGNL Bộ Công an, ĐGNL Bộ Quốc phòngTD - Click xem ngay) tại Tuyensinh247.com. Cập nhật bám sát bộ SGK mới, Thầy Cô giáo giỏi, 3 bước chi tiết: Nền tảng lớp 12; Luyện thi chuyên sâu; Luyện đề đủ dạng đáp ứng mọi kì thi.
![]() |
![]() |
![]() |
![]() |
![]() |
![]() |
![]() |
![]() |
Hỗ trợ - Hướng dẫn
-
024.7300.7989
-
1800.6947
(Thời gian hỗ trợ từ 7h đến 22h)
Email: lienhe@tuyensinh247.com












