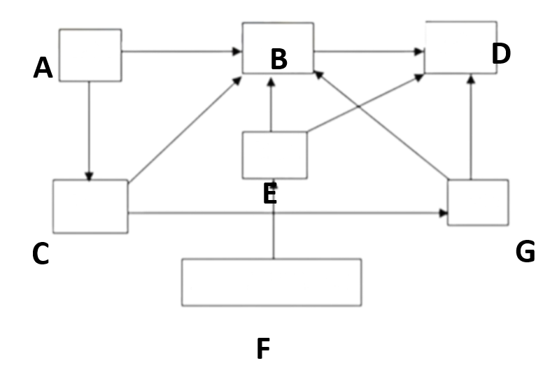
Quan sát lưới thức ăn sau và trả lời 3 câu hỏi
Quan sát lưới thức ăn sau và trả lời 3 câu hỏi sau:

Trả lời cho các câu 1, 2, 3 dưới đây:
Loài tham gia vào nhiều chuỗi thức ăn nhất là:
Đáp án đúng là: B
Vận dụng kiến thức về sinh thái học.
Đáp án cần điền là: B
Từ các chữ số \(1,3,5,7,9\).
1) Có thể lập được số số có bốn chữ số khác nhau trong đó phải có mặt chữ số \(5\).
2) Có thể lập được số có năm chữ số khác nhau trong đó chữ số \(7,9\) luôn đứng cạnh nhau.
3) Có thể lập được số có ba chữ số khác nhau và chia hết cho \(3\).
Đáp án đúng là: 96; 48; 24
Đáp án cần chọn là: 96; 48; 24
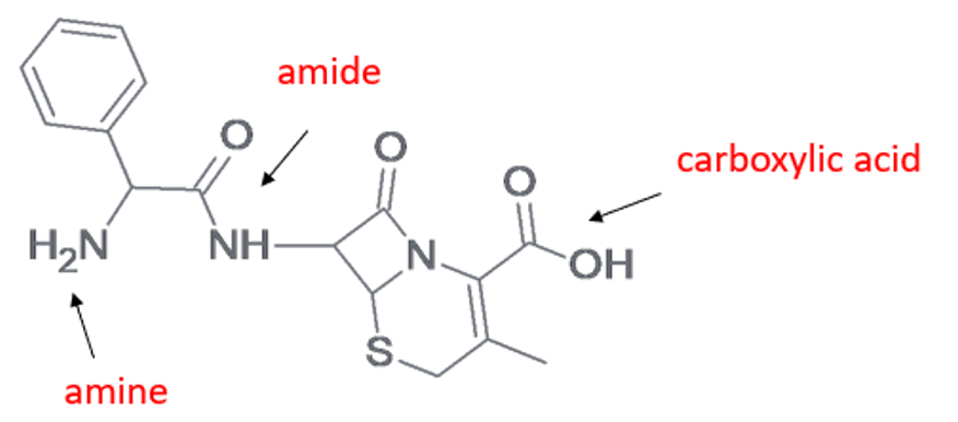
NGỮ LIỆU 1. CEFALEXIN
Cefalexin là một thuốc kháng sinh có ích trong việc điều trị một số bệnh nhiễm trùng. Thuốc được sử dụng bằng đường miệng và hoạt động chống lại vi khuẩn gram dương cùng vài loại vi khuẩn gram âm. Cefalexin được dùng để trị một số các bệnh nhiễm, bao gồm: nhiễm trùng tai giữa, viêm họng do streptococcus, các nhiễm trùng xương và khớp, viêm phổi, các nhiễm trùng da, và các nhiễm trùng đường tiểu. Cefalexin hầu như được hấp thu hoàn toàn ở đường tiêu hóa và đạt nồng độ đỉnh trong huyết tương vào khoảng 9 và 18 microgam/ml sau một giờ với liều uống tương ứng 250 và 500 mg; liều gấp đôi đạt nồng độ đỉnh gấp đôi. Uống cefalexin cùng với thức ăn có thể làm chậm khả năng hấp thu nhưng tổng lượng thuốc hấp thu không thay đổi. Có tới 15% liều cefalexin gắn kết với protein huyết tương. Bán rã trong huyết tương ở người lớn có chức năng thận bình thường là 0,5 - 1,2 giờ, nhưng ở trẻ sơ sinh dài hơn (5 giờ); và tăng khi chức năng thận suy giảm. Cefalexin phân bố rộng khắp cơ thể, nhưng lượng trong dịch não tủy không đáng kể. Cefalexin qua được nhau thai và bài tiết vào sữa mẹ với nồng độ thấp. Cefalexin không bị chuyển hóa. Thể tích phân bố của cefalexin là 18 lít/1,78 m2 diện tích cơ thể. Khoảng 80% liều dùng thải trừ ra nước tiểu ở dạng không đổi trong 6 giờ đầu qua lọc cầu thận và bài tiết ở ống thận; với liều 500 mg cefalexin, nồng độ trong nước tiểu cao hơn 1 mg/ml.

Xác định tính đúng sai của mỗi mệnh đề dưới đây
| Đúng | Sai | |
|---|---|---|
| a) Trong phân tử cefalexin có chứa 3 nhóm carbonyl | ||
| b) Phân tử khối của cefalexin là 348 gam/mol | ||
| c) Với liều uống 500 mg, nồng độ đỉnh của cefalexin trong huyết tương là 9 μg/mL | ||
| d) Thời gian bán rã trong huyết tương của cefalexin tỉ lệ nghịch với mức độ hoạt động của thận. | ||
| e) Thể tích phân bố của cefalexin trong diện tích cơ thể là 10,11 lít/m2 |
Đáp án đúng là: Đ; S; S; Đ
Từ công thức cấu tạo ⟹ tính chất
Dựa vào dữ liệu đoạn văn.
Đáp án cần chọn là: Đ; S; S; Đ
Quảng cáo
>> 2K9 Chú ý! Lộ Trình Sun 2027 - 1 lộ trình ôn đa kỳ thi (TN THPT, ĐGNL (Hà Nội/ Hồ Chí Minh), ĐGNL Sư Phạm, ĐGTD, ĐGNL Bộ Công an, ĐGNL Bộ Quốc phòngTD - Click xem ngay) tại Tuyensinh247.com. Cập nhật bám sát bộ SGK mới, Thầy Cô giáo giỏi, 3 bước chi tiết: Nền tảng lớp 12; Luyện thi chuyên sâu; Luyện đề đủ dạng đáp ứng mọi kì thi.
![]() |
![]() |
![]() |
![]() |
![]() |
![]() |
![]() |
![]() |
Hỗ trợ - Hướng dẫn
-
024.7300.7989
-
1800.6947
(Thời gian hỗ trợ từ 7h đến 22h)
Email: lienhe@tuyensinh247.com












