NGỮ LIỆU 1. CEFALEXIN Cefalexin là một thuốc kháng sinh có ích trong việc điều
NGỮ LIỆU 1. CEFALEXIN
Cefalexin là một thuốc kháng sinh có ích trong việc điều trị một số bệnh nhiễm trùng. Thuốc được sử dụng bằng đường miệng và hoạt động chống lại vi khuẩn gram dương cùng vài loại vi khuẩn gram âm. Cefalexin được dùng để trị một số các bệnh nhiễm, bao gồm: nhiễm trùng tai giữa, viêm họng do streptococcus, các nhiễm trùng xương và khớp, viêm phổi, các nhiễm trùng da, và các nhiễm trùng đường tiểu. Cefalexin hầu như được hấp thu hoàn toàn ở đường tiêu hóa và đạt nồng độ đỉnh trong huyết tương vào khoảng 9 và 18 microgam/ml sau một giờ với liều uống tương ứng 250 và 500 mg; liều gấp đôi đạt nồng độ đỉnh gấp đôi. Uống cefalexin cùng với thức ăn có thể làm chậm khả năng hấp thu nhưng tổng lượng thuốc hấp thu không thay đổi. Có tới 15% liều cefalexin gắn kết với protein huyết tương. Bán rã trong huyết tương ở người lớn có chức năng thận bình thường là 0,5 - 1,2 giờ, nhưng ở trẻ sơ sinh dài hơn (5 giờ); và tăng khi chức năng thận suy giảm. Cefalexin phân bố rộng khắp cơ thể, nhưng lượng trong dịch não tủy không đáng kể. Cefalexin qua được nhau thai và bài tiết vào sữa mẹ với nồng độ thấp. Cefalexin không bị chuyển hóa. Thể tích phân bố của cefalexin là 18 lít/1,78 m2 diện tích cơ thể. Khoảng 80% liều dùng thải trừ ra nước tiểu ở dạng không đổi trong 6 giờ đầu qua lọc cầu thận và bài tiết ở ống thận; với liều 500 mg cefalexin, nồng độ trong nước tiểu cao hơn 1 mg/ml.

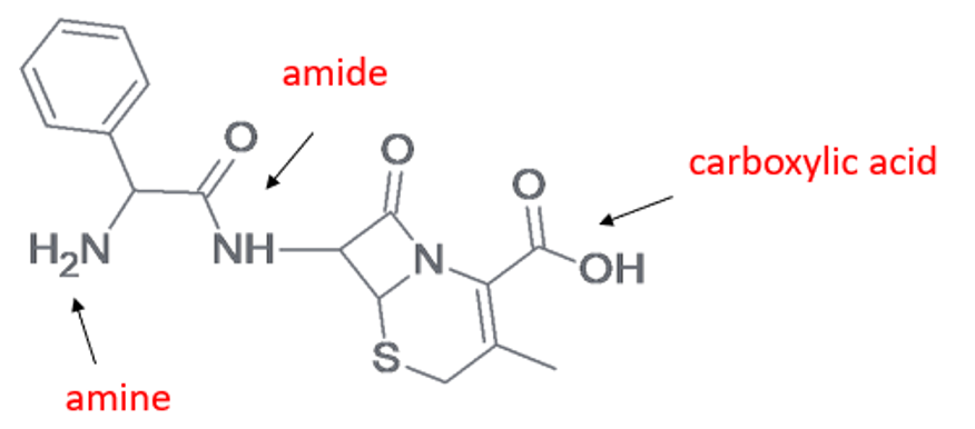
Trong phân tử cefalexin có chứa những nhóm chức hữu cơ nào trong các nhóm chức dưới đây?
Đáp án đúng là: C; D; B
Quảng cáo
Từ công thức cấu tạo ⟹ nhóm chức.
Đáp án cần chọn là: C; D; B
>> 2K9 Chú ý! Lộ Trình Sun 2027 - 1 lộ trình ôn đa kỳ thi (TN THPT, ĐGNL (Hà Nội/ Hồ Chí Minh), ĐGNL Sư Phạm, ĐGTD, ĐGNL Bộ Công an, ĐGNL Bộ Quốc phòngTD - Click xem ngay) tại Tuyensinh247.com. Cập nhật bám sát bộ SGK mới, Thầy Cô giáo giỏi, 3 bước chi tiết: Nền tảng lớp 12; Luyện thi chuyên sâu; Luyện đề đủ dạng đáp ứng mọi kì thi.
![]() |
![]() |
![]() |
![]() |
![]() |
![]() |
![]() |
![]() |
Hỗ trợ - Hướng dẫn
-
024.7300.7989
-
1800.6947
(Thời gian hỗ trợ từ 7h đến 22h)
Email: lienhe@tuyensinh247.com













