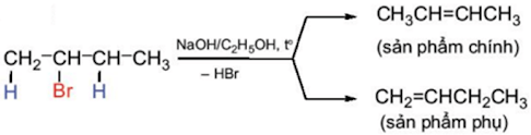
Z là dẫn xuất monohalogen của alkane, có khối lượng mol phân tử là 137
Z là dẫn xuất monohalogen của alkane, có khối lượng mol phân tử là 137 g/mol. Nguyên tử halogen X trong Z liên kết với nguyên tử C bậc II. Cho các phát biểu
(1) Phân tử Z chứa một nguyên tử C liên kết với các nguyên tử và nhóm nguyên tử khác nhau.
(2) Z tách HX tạo ra hai alkene đồng phân cấu tạo.
(3) Z tách HX tạo ra hai alkene đồng phân hình học.
Phát biểu đúng trong các phát biểu trên là
Đáp án đúng là: A
Quảng cáo
Dựa vào lí thuyết về dẫn xuất halogen.
Đáp án cần chọn là: A
>> 2K9 Chú ý! Lộ Trình Sun 2027 - 1 lộ trình ôn đa kỳ thi (TN THPT, ĐGNL (Hà Nội/ Hồ Chí Minh), ĐGNL Sư Phạm, ĐGTD, ĐGNL Bộ Công an, ĐGNL Bộ Quốc phòngTD - Click xem ngay) tại Tuyensinh247.com. Cập nhật bám sát bộ SGK mới, Thầy Cô giáo giỏi, 3 bước chi tiết: Nền tảng lớp 12; Luyện thi chuyên sâu; Luyện đề đủ dạng đáp ứng mọi kì thi.
![]() |
![]() |
![]() |
![]() |
![]() |
![]() |
![]() |
![]() |
Hỗ trợ - Hướng dẫn
-
024.7300.7989
-
1800.6947
(Thời gian hỗ trợ từ 7h đến 22h)
Email: lienhe@tuyensinh247.com














