Threonine là một amino acid thiết yếu nhưng cơ thể không tự tổng hợp được
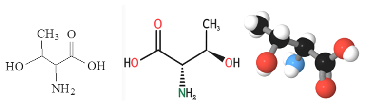
Threonine là một amino acid thiết yếu nhưng cơ thể không tự tổng hợp được mà phải lấy từ thực phẩm hoặc dược phẩm. Threonine hỗ trợ nhiều cơ quan trong cơ thể như thần kinh trung ương, tim mạch, gan và hệ miễn dịch. Đồng thời threonine cũng tổng hợp glycerin và serine, giữ vai trò sản xuất collagen, elastin và mô cơ.

| Đúng | Sai | |
|---|---|---|
| a) Threonine là hợp chất hữu cơ tạp chức chỉ chứa nhóm COOH, NH2. | ||
| b) Threonine có công thức phân tử C4H9NO3. | ||
| c) Threonine phản ứng với dung dịch NaOH theo tỉ lệ 1:1 | ||
| d) Threonine là amino acid mà cơ thể có thể tự tổng hợp được. |
Đáp án đúng là: S; Đ; Đ; S
Quảng cáo
Từ CTCT suy ra tính chất.
Đáp án cần chọn là: S; Đ; Đ; S
>> 2K9 Chú ý! Lộ Trình Sun 2027 - 1 lộ trình ôn đa kỳ thi (TN THPT, ĐGNL (Hà Nội/ Hồ Chí Minh), ĐGNL Sư Phạm, ĐGTD, ĐGNL Bộ Công an, ĐGNL Bộ Quốc phòngTD - Click xem ngay) tại Tuyensinh247.com. Cập nhật bám sát bộ SGK mới, Thầy Cô giáo giỏi, 3 bước chi tiết: Nền tảng lớp 12; Luyện thi chuyên sâu; Luyện đề đủ dạng đáp ứng mọi kì thi.
![]() |
![]() |
![]() |
![]() |
![]() |
![]() |
![]() |
![]() |
Hỗ trợ - Hướng dẫn
-
024.7300.7989
-
1800.6947
(Thời gian hỗ trợ từ 7h đến 22h)
Email: lienhe@tuyensinh247.com












