Cao su tự nhiên lấy từ mủ cây cao su. Cây cao su có tên khoa học là
Cao su tự nhiên lấy từ mủ cây cao su. Cây cao su có tên khoa học là Hevea brasiliensis có nguồn gốc từ Nam Mỹ, được trồng ở Việt Nam và nhiều nơi trên thế giới. Cao sự tự nhiên có tính đàn hồi, không dẫn điện, chịu mài mòn, không thấm khí và nước, không tan trong nước và một số dung môi hữu cơ như ethanol… nhưng tan trong xăng, benzene… Cao su thiên nhiên được dùng để sản xuất các loại lốp xe, băng tải, ống dẫn, đệm,…
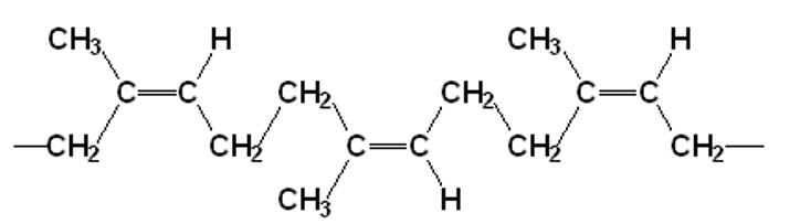
Cho một đoạn cấu tạo của cao su thiên nhiên như sau:

| Đúng | Sai | |
|---|---|---|
| a) Đoạn mạch trên gồm ba mắt xích isoprene. | ||
| b) Cao su isoprene có cấu trúc giống với cấu trúc cao su thiên nhiên. | ||
| c) Tính đàn hồi là tính biến dạng khi gặp tác dụng của lực và giữ nguyên hình dạng khi thôi tác dụng lực. | ||
| d) Một mắt xích cao su thiên nhiên có hàm lượng carbon chiếm 88,235%. |
Đáp án đúng là: Đ; S; S; Đ
Quảng cáo
Đặc điểm cấu tạo polymer.
Đáp án cần chọn là: Đ; S; S; Đ
>> 2K9 Chú ý! Lộ Trình Sun 2027 - 1 lộ trình ôn đa kỳ thi (TN THPT, ĐGNL (Hà Nội/ Hồ Chí Minh), ĐGNL Sư Phạm, ĐGTD, ĐGNL Bộ Công an, ĐGNL Bộ Quốc phòngTD - Click xem ngay) tại Tuyensinh247.com. Cập nhật bám sát bộ SGK mới, Thầy Cô giáo giỏi, 3 bước chi tiết: Nền tảng lớp 12; Luyện thi chuyên sâu; Luyện đề đủ dạng đáp ứng mọi kì thi.
![]() |
![]() |
![]() |
![]() |
![]() |
![]() |
![]() |
![]() |
Hỗ trợ - Hướng dẫn
-
024.7300.7989
-
1800.6947
(Thời gian hỗ trợ từ 7h đến 22h)
Email: lienhe@tuyensinh247.com












