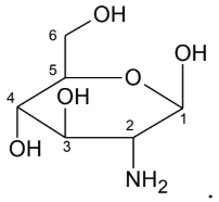
[...] Glucose có thể tồn tại ở dạng mạch vòng 6 cạnh trong đó một đỉnh là nguyên tố oxygen
[...] Glucose có thể tồn tại ở dạng mạch vòng 6 cạnh trong đó một đỉnh là nguyên tố oxygen còn lại mỗi đỉnh của vòng chứa 1 nguyên tử carbon. Glucosamine là hợp chất thu được khi thay thế nhóm -OH ở nguyên tử carbon số 2 trong glucose bằng nhóm -NH2.
[...] Có 3 nhóm học sinh trong một lớp tiến hành thí nghiệm điều chế chitin từ 35,0 gam vỏ tôm đã được làm sạch. Kết quả thí nghiệm của các nhóm được cho trong bảng sau

Trả lời cho các câu 1, 2, 3 dưới đây:
Cấu tạo nào dưới đây là của glucoamine?
Đáp án đúng là: B
Glucosamine là hợp chất thu được khi thay thế nhóm -OH ở nguyên tử carbon số 2 trong glucose bằng nhóm -NH2.
Đáp án cần chọn là: B
Thành phần phần trăm khối lượng khoáng trung bình có trong vỏ tôm của các nhóm là (cho N = 14, H = 1; O = 16; C = 12)
Đáp án đúng là: A
Từ bảng số liệu ⟹ khối lượng khoáng.
Đáp án cần chọn là: A
Cho các phát biểu nào dưới đây
(I) Khối lượng mol của glucosamine hơn của glucose là 1 gam/mol.
(II) Nhóm 1 là nhóm có hiệu suất khử khoáng và khử protein cao nhất.
(III) Hàm lượng protein trung bình có ở vỏ tôm trong thí nghiệm của các nhóm khoảng 24,8%.
Các phát biểu đúng trong các phát biểu trên là
Đáp án đúng là: C
Căn cứ vào đoạn dữ liệu, phân tích và suy luận.
Đáp án cần chọn là: C
Quảng cáo
>> 2K9 Chú ý! Lộ Trình Sun 2027 - 1 lộ trình ôn đa kỳ thi (TN THPT, ĐGNL (Hà Nội/ Hồ Chí Minh), ĐGNL Sư Phạm, ĐGTD, ĐGNL Bộ Công an, ĐGNL Bộ Quốc phòngTD - Click xem ngay) tại Tuyensinh247.com. Cập nhật bám sát bộ SGK mới, Thầy Cô giáo giỏi, 3 bước chi tiết: Nền tảng lớp 12; Luyện thi chuyên sâu; Luyện đề đủ dạng đáp ứng mọi kì thi.
![]() |
![]() |
![]() |
![]() |
![]() |
![]() |
![]() |
![]() |
Hỗ trợ - Hướng dẫn
-
024.7300.7989
-
1800.6947
(Thời gian hỗ trợ từ 7h đến 22h)
Email: lienhe@tuyensinh247.com













