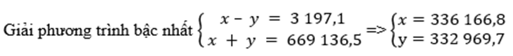
Biết ở nước ta năm 2021, cán cân xuất nhập khẩu hàng hóa là 3 197,1
Biết ở nước ta năm 2021, cán cân xuất nhập khẩu hàng hóa là 3 197,1 triệu USD và tổng kim ngạch xuất nhập khẩu là 669 136,5 triệu USD. Hỏi trị giá xuất khẩu của nước ta năm 2021 là bao nhiêu tỉ USD? (làm tròn kết quả đến hàng đơn vị).
Đáp án đúng là:
Quảng cáo
Căn cứ vào kỹ năng tính toán, xử lý số liệu.
Đáp án cần điền là: 336
>> 2K9 Chú ý! Lộ Trình Sun 2027 - 1 lộ trình ôn đa kỳ thi (TN THPT, ĐGNL (Hà Nội/ Hồ Chí Minh), ĐGNL Sư Phạm, ĐGTD, ĐGNL Bộ Công an, ĐGNL Bộ Quốc phòngTD - Click xem ngay) tại Tuyensinh247.com. Cập nhật bám sát bộ SGK mới, Thầy Cô giáo giỏi, 3 bước chi tiết: Nền tảng lớp 12; Luyện thi chuyên sâu; Luyện đề đủ dạng đáp ứng mọi kì thi.
![]() |
![]() |
![]() |
![]() |
![]() |
![]() |
![]() |
![]() |
Hỗ trợ - Hướng dẫn
-
024.7300.7989
-
1800.6947
(Thời gian hỗ trợ từ 7h đến 22h)
Email: lienhe@tuyensinh247.com













